We’ve received some requests for an integration of our three products – Astah Professional (UML editor), Astah SysML (SysML editor) and Astah GSN (Goal Structuring Notation editor) from our users because there is no file compatibility between these products at the moment.
But this new plugin may have made it half-way through.
Toshinori, formerly of Change Vision, Inc., developed a plugin which enables you to convert UML/SysML models and also MindMap to GSN models.
His motivation was to automatically generate a structural proof in GSN (Goal Structuring Notation) from the UML/SysML models and risk analysis he has created.
We are getting ready for publishing this plug-in on our website, but wanted to give you a quick preview!
This is a Mindmap before you convert:
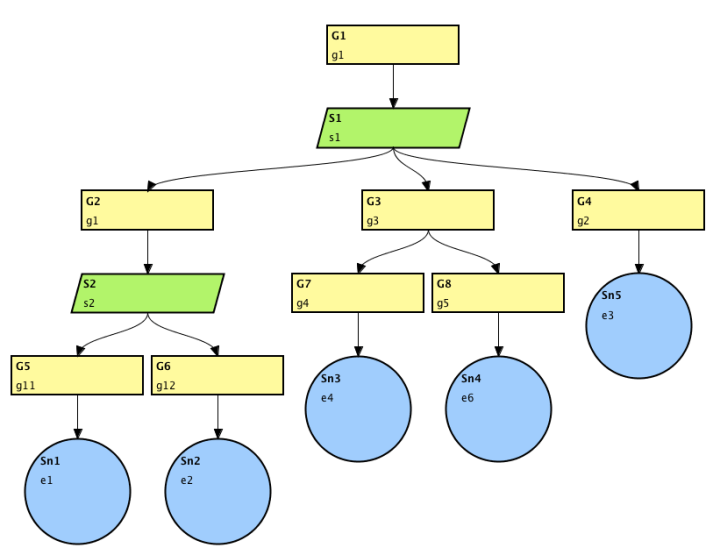
All you do is to specify what kind of GSN model (goal, strategy, solution, assumption…etc.) you want to convert by adding text to each topic.

This is after-convert.

If you’d like to try out this plug-in, visit here:
https://github.com/ChangeVision/astah-something2gsn-plugin/blob/master/README.md
Cheers,
SJ